|
展览地点:北京朝阳区草场地155号墓美术馆 展览时间:2014年9月26日至2014年10月15日 展览主办:共振设计公司
艺术的本质在于「特殊模式」,「特殊模式」包含计算模式、推论与沟通模式、运动与变化模式、形状模式、对称与规则模式、位置模式、机会模式,以及宇宙的基本模式。 ――戴帆「DAI FAN」











 “死亡方程式”戴帆个展
戴帆「DAI FAN」是当代思想拓展和行动方式最猛烈的破坏者之一,其作品一直对人类既定的思考惯性及艺术史进行入侵,提供给人们观察和思考这个世界的全新视角。2014年9月26日,他的个展《死亡方程式》在墓美术馆巨大的空间中开幕。和他作为建筑师的身份一样,作为一个艺术家,戴帆希望他所呈现的都是十全十美的严密的艺术珍品,“当一幢建筑物完成时,应该把脚手架拆除干净”,数学对于严密性的要求非常苛刻。在新的展览中,戴帆的艺术将展现不可调和的悖论和极端性。也许将当代艺术推向纯粹思考的维度「死亡方程式」呈现的是数学逻辑和推理论证,戴帆的观点是︰艺术的本质在于「特殊模式」,「特殊模式」包含计算模式、推论与沟通模式、运动与变化模式、形状模式、对称与规则模式、位置模式、机会模式,以及宇宙的基本模式。在戴帆的中学时期,他对数学逻辑的兴趣让他获得了一些数学竞赛的奖项,那个时期他在传统的艺术与极端理性的数学系统中成长,他的成长总是在两个极端之间来回游弋,一端是疯狂、感性的绘画、雕刻艺术,另一端是冰冷的缜密的逻辑推理,如果这两个极端的系统有什么共同点,那就是同时可以将人推向深渊。「我喜欢这一切,因为无与伦比的严密性和超越一切的理性”」。
戴帆尝试用一种前所未有的方式来思考艺术,将有创造力的直觉、卓越的计算能力、严密的逻辑推理、缜密实验巧妙的组合在一起,剔除掉任何观念及感情,以一种冷静的缜密的高度结构化的思维来推进艺术。我们从数字、字母、符号、式子和图形莫测变幻的世界里,开拓出一个神奇的世界,思维像一道划破长空的闪电,在疯狂猜想和逻辑推理中,获得一种优美而崇高的体验,一种快慰而神圣的感觉。糖果般的颜色带给人仅仅是视觉上的欺骗,一种视觉与内容的悖论。戴帆所呈现的语言展现了高度的概括性,自然语言本身就是一种概况,而数学语言又是对自然语言的概括。戴帆一直把他研究的对象,例如数、点等等,看成实实在在的自在之物。但是,准确描述这些实体的努力是荒唐的,要问当作实体的这些对象究竟是什么,这是没有意义的,所有的一切论断都不涉及具体的现实,而只是不加定义的对象之间的结构和运算法则。另一方面,作为人类精神的最原始的创造,数学展现可我们观察问题的角度和思考的模式进化的过程,阐述的定理有一种永世不灭的恒久性。我们观看数学时,我们无法从表面来把握实质,必须运用我们头脑和心灵的力量进行思维的运动才能真正的理解艺术。戴帆的艺术呈现出一种冷而严肃的美,但其本质上是一种与视网膜无关的艺术,这种美不是投合我们天性脆弱的感官,它只涉及到心灵和头脑中意识运行的时候你才能真正领会,否则你将一无所获。这是一种远离,一种走向灭亡的疏远,一望无边。
闪光的思想是极端的产物,这种冲突与性格的结合结果就是带有强烈个人方法论的破坏系统。2014年5月他的个展《进化批判》展出了他对专制主义和酷刑想像的“刑具”系列作品,典型的东方专制主义与中国刑罚程序之间被伪造出坚固的情感和审美联系,让人联想到人类血腥、暴力的惩罚,呈现一种残酷的魅力。文化面貌其实和国民性息息相关。刑具同时改变了当代艺术语境下人与艺术之间的关系,被欣赏的对象进化成了对人有攻击和伤害力的机器魔兽。展览中的入口处在一件“凌迟”的作品,红色的金属不锈钢机器是一种机械自动化运转的“凌迟”功能的机器,这个机器本身具备高科技和未来宇宙的漂亮风格,机器上的刀子将人身体上的肉切割下来。在中国元代执行凌迟,把犯人零割120刀,明代执行凌迟时零割远远超过了前代。凌迟从文化史的意义上来看,酷刑及其他残忍行为的状况是一个民族的文化水平和社会文明程度的标志。中国的落后导致了它的前卫,酷刑的产生表现出原始、野蛮的文化形态。 “刑具”系列作品之一“五马分尸”呈现的是:五架金色的金属材质的战斗机,将固定在中间五角星的金属板上的人往五个不同方向向外拉断身体,“五马分尸” 既是戴帆虚构的作品,又是我们的现实世界,同时暗示人类酷刑的方式是由当时人们的生产水平和生活方式决定的,爆裂的视觉经验展现了扭曲的人性。一位美国艺术杂志的编辑认为这件精彩的作品有力地讽刺了历史刑罚的合法性与中国进化论的无奈何窘境。整个战场就是一个未来的刑场,又像一个超级空间的武器库,一位现场的法国收藏家表示“令人疯狂和震惊”。作品立即赢得了文化与艺术界的高度关注,来自文化界和艺术界的声音认为艺术家用一种极具勇气的极端方式展示了人类历史过程中人性的扭曲,许多观众面对这些作品时不寒而栗。
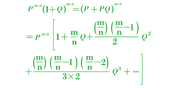
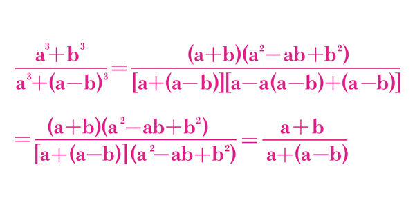
一个无限逼近死亡的人会有无比的魅力,定理的证明过程由于一次次逼近极限的死亡的窒息的体验,而每一步让你感觉到绝处逢生一般的喜悦与新鲜,这是一种思维的极限探险,“刑具”系列作品表现的是对身体痛苦的精确计算,而“死亡方程式”中对思考的探险只能在大脑中完成。
|